Traffic Design | DESIGN TRAFFIC FORMULA

SHARE:

Traffic Design | DESIGN TRAFFIC FORMULA

                                

Traffic Design | DESIGN TRAFFIC FORMULA

INTRODUCTION :

Traffic Design:
 
A        Designing for traffic is to focus on efficiency for all users of a transportation system. Civil engineers that focus on the safe and efficient movement of people and goods specialize in the field of traffic engineering. Traffic engineering principles of design are inherently part of every great roadway, site, and pedestrian project. Walter P Moore focuses on achieving efficient movements for all users of a transportation system while encouraging balance of a variety of user needs. Design elements include signalization of intersections, traffic control during events and construction, and intersection safety improvements as well as roadway features such as signage, striping, and illumination. 
'

Traffic Design


1.Signalization:

Walter P Moore offers studies to determine the best type of intersection traffic control, such as traffic signals, two-way stop, four-way stop or alternatives like roundabouts. We work with a variety of clients, ranging from state, city and county transportation agencies to developers.

2.Traffic Control:

When converting an existing street to a new configuration, careful attention must be given to maintain active traffic control during construction. We work diligently to allow for continued flow of operations, whether it involves auto, rail and/or pedestrian traffic, during site and roadway improvements.

3.Intersections:

Intersection projects consist of developing schematic plans of modifications to existing areas or proposed intersections and roadway segments. Our designs include details such as lane widths, turning radii, lane alignment through intersections, median width, and median length. Special consideration is given to intersections with high volumes of truck or bus traffic that may require larger lane widths or turning radii and sites with sight distance issues.

4.Roadways:

Our team develops roadway designs in several phases: conceptual, schematic, and final designs. The traffic engineering aspects include signalization, traffic control, and intersection design as well as the detailed alignment of the roadway to ensure easy movements for all vehicles while paying close attention to the details of pedestrian crossings.

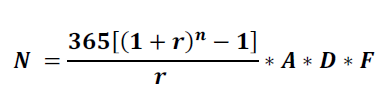
DESIGN TRAFFIC FORMULA:

 

The design traffic is considered in terms of cumulative number of standard axles (in the lane carrying maximum traffic) to be carried during the design life of pavement using

 

DESIGN TRAFFIC FORMULA

                                  

N          The cumulative number of standard axles to be catered for in the design life in terms of msa

A          Initial traffic in the year of completion of construction in terms of the number of commercial vehicles per day

D          Lane distribution factor

F           Vehicle damage factor

n           Design life in years

r           Annual growth rate of commercial vehicles The traffic in the year of completion is estimated using

A = P(1 + r)x                                                             

P          Number of commercial vehicles as per last count

x           Number of years between the last count and the year of completion of construction


PURPOSEPLAN SIZEDOWNLOAD LINK
RESIDENTIAL30' X 60'LINK
RESIDENTIAL700 Sq.ftLINK
RESIDENTIAL30' X 50'LINK
RESIDENTIAL40' X 80'LINK
SCHOOL4 CLASS ROOMLINK
STRUCTURAL DRAWING SCHOOL4 CLASS ROOMLINK
STRUCTURAL DRAWING RESIDENTIAL40' X 80'LINK
AUTOCAD PLAN 30' X 70'30' X 70'LINK
AUTOCAD PLAN30' X 60'LINK
INDUSTRIAL PLAN
(18m X 38m)LINK



RESIDENTIAL PLAN


#1 (40' x 80') - Click here

#2 (30' x 50') - Click here

#3 (30' x 24') - Click here

#4 (30' x 60') - Click here

#5 (30' x 70') - Click here

#6 (25' x 60') - Click here

#7 (20' x 60') - Click here

#8 (30' x 40') - Click here

COMMENTS

Name

_GENERAL STUDIES,3,Autocad,108,BANK,1,BOOK,58,brick,1,building material,4,Building Materials,1,cement,4,cement test,1,Civil,64,CIVIL ENG,93,CIVIL FACTS,1,CIVIL JOB VACANCY,79,COMMERCIAL,2,compresive strength,1,concrete,5,current affairs,4,E-BOOK,1,EAST,3,ELECTRICAL ENG,30,ENGINEER JOB VACANCY,163,ENGINEERING,53,ESTIMATION,15,EXAM NOTES,4,EXCEL,38,GOVT,45,HIGHWAY,2,HIGHWAY ENGINEERING,2,INTERVIEW QUESTION,3,JOB,128,JOB VACANCY,199,JOBS VACANCY,12,land measurement,1,MECH ENG,121,MECH RECRUITMENT,1,MEDICAL,3,NORTH FACING,2,notes,185,paint,5,POLICE,1,Private,12,Quiz,204,RCC,4,RESIDENTIAL,9,roof slab,3,SOFTWARE,5,soil mechanics,4,SOUTH,4,SPECIAL,3,STAAD,28,steel,2,Structural analysis,2,Structural drawing,36,tiles,2,weight of steel,1,
ltr
item
CIVIL WEBSITE: Traffic Design | DESIGN TRAFFIC FORMULA
Traffic Design | DESIGN TRAFFIC FORMULA
Traffic Design | DESIGN TRAFFIC FORMULA
https://blogger.googleusercontent.com/img/b/R29vZ2xl/AVvXsEgg5LbNPYTYpWtoGBcxNWAZz4WBmp8tp766sU2OjVRrLAM4iINNkzo5eGiSOHoAVfm_yt1kiL7TnC1VIqH4g8lRU2j2iPvrydqgkn5m3SvzTOgMLGyfBSnL_7Q8gKstDOZ9nV1B6vsmyqMW0jtQ3oenPkm9iRwzkJRmcUVFi2moVdJ0EOcf6Hk0BFDc/w640-h288/Capture.PNG
https://blogger.googleusercontent.com/img/b/R29vZ2xl/AVvXsEgg5LbNPYTYpWtoGBcxNWAZz4WBmp8tp766sU2OjVRrLAM4iINNkzo5eGiSOHoAVfm_yt1kiL7TnC1VIqH4g8lRU2j2iPvrydqgkn5m3SvzTOgMLGyfBSnL_7Q8gKstDOZ9nV1B6vsmyqMW0jtQ3oenPkm9iRwzkJRmcUVFi2moVdJ0EOcf6Hk0BFDc/s72-w640-c-h288/Capture.PNG
CIVIL WEBSITE
https://www.civilwebsite.com/2022/05/traffic-design-design-traffic-formula.html
https://www.civilwebsite.com/
https://www.civilwebsite.com/
https://www.civilwebsite.com/2022/05/traffic-design-design-traffic-formula.html
true
6778661338604217153
UTF-8
Loaded All Posts Not found any posts VIEW ALL Readmore Reply Cancel reply Delete By Home PAGES POSTS View All RECOMMENDED FOR YOU LABEL ARCHIVE SEARCH ALL POSTS Not found any post match with your request Back Home Sunday Monday Tuesday Wednesday Thursday Friday Saturday Sun Mon Tue Wed Thu Fri Sat January February March April May June July August September October November December Jan Feb Mar Apr May Jun Jul Aug Sep Oct Nov Dec just now 1 minute ago $$1$$ minutes ago 1 hour ago $$1$$ hours ago Yesterday $$1$$ days ago $$1$$ weeks ago more than 5 weeks ago Followers Follow THIS PREMIUM CONTENT IS LOCKED STEP 1: Share to a social network STEP 2: Click the link on your social network Copy All Code Select All Code All codes were copied to your clipboard Can not copy the codes / texts, please press [CTRL]+[C] (or CMD+C with Mac) to copy Table of Content